Incadescent lamps

Flicker In a Nutshell

What is flicker? How is flicker measured? How to reduce flicker?

Time to Read 3 min

This page briefly introduces you to the flicker problems, describes how flicker occurs and how it is measured. Additionally, it contains some information about the operating condition of the specimen during the measurement and some approximation formulas for estimating the test results.

Last but not least, you get some simple rules for the design of loads and their effects on flicker values.

Source of Flicker: power network impedance

Origin of Flicker

The voltage of public power networks is changing over time. These changes originate in the voltage drop generated over the source impedance of the grid by the changing load current of an equipment or facility.

The fluctuations of the load in time generate flicker, i.e. changes in the luminous flux of a lamp. The effects of flicker can range from disturbance to epileptic attacks of photosensitive persons.

Flicker Model

The requirements of a flicker measurement equipment are defined in the standard [1] IEC 61000-4-15. The flicker meter is subdivided in several function blocks which simulate a 230 V/60 W incandescent lamp (reference lamp) an the human perception system (eye-brain model).

From the resulting momentary value of flicker the short term flicker value Pst is generated in the last block according to a statistic process over a predefined observation interval. Long term flicker Plt is calculated as the cubic average of several Pst values.

In the standard [2] IEC 61000-3-3 the observation intervals and the limiting values for Pst and Plt are specified:

Value Observation Interval Limiting Value
Pst 10 min 1.0
Plt 2 h 0.65
Block-/ Signal-Flow Diagram of a Flicker Meter

Operating Condition of the EUT

The flicker standard states that the EUT (Equipment Under Test) has to be operated during the test in a way which is the worst case state with respect to flicker.

If the EUT is operated in a (relatively) constant fashion during the whole test, Plt = Pst will result. If this state is is feasible and realistic this means Pst has to fulfill the limits for Plt (which are lower!)

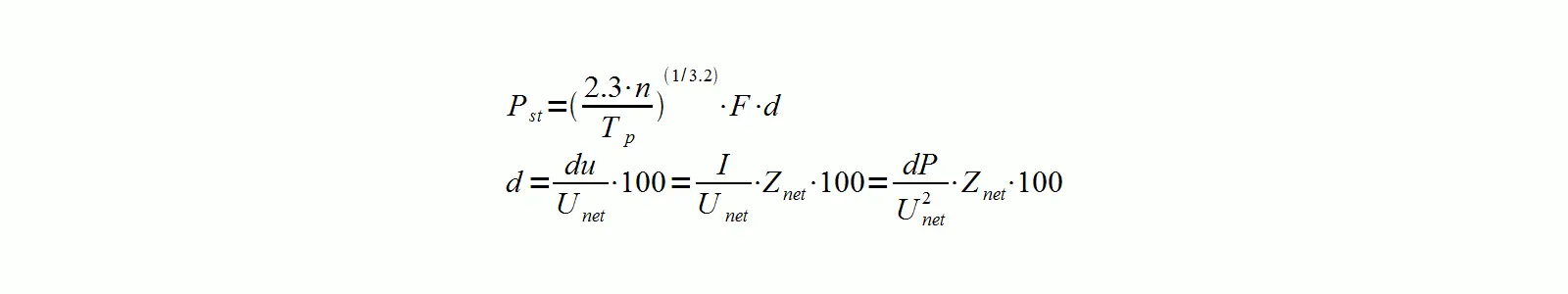
Estimation

A purely analytical calculation of Pst is almost impossible, so we have developed FlickerSim and made it available open-source.

However, formulas for the first estimation of the expected Pst values are given in the standard [2]:

n = number of load changes in the observation interval
Tp = duration of the observation interval in seconds
F = shape factor (1 for step-wise voltage changes)
d = relative voltage change relative dU / U

In [2] there are also shape factors for different curve forms.

Approximation formulas for the estimation of flicker measurements

Flicker Facts

  • Flicker is generated by load changes. Only the amplitude of the load change is relevant, not the absolute value.
  • A reduction in Pst can only be attained through:
    • less load changes n
    • smaller load changes dP
    • soft (F < 1) instead of hard (F = 1) load changes (e.g. by the help of power electronics)
  • The relationship between amplitude of load changes and Pst is linear, i.e. halving the switched load results in half the Pst
  • The relationship between number of load changes per time (n/ Tp) and Pst is non-linear. A halving of load changes reduces Pst by only about 20%. In order to have half the Pst, the number of load changes must be reduced by a factor of 9!

References

[1] IEC 61000-4-15, Testing and measurement techniques – Flickermeter – Functional and design specifications, Edition 1.1, 2003-03
[2] IEC 61000-3-3, Limits – Limitation of voltage changes, voltage fluctuations and flicker in public low-voltage supply systems, for equipment with rated current 16 A per phase and not subject to conditional connection, Edition 2.0, 2008-06
[3] Wikipedia: Flicker
[4] Wilhelm Mombauer: "Messung von Spannungsschwankungen und Flickern mit dem IEC-Flickermeter", ISBN 3-8007-2525-8, VDE-Verlag

Patrik Jourdan

Do you have additional questions? Do you have a different opinion? If so, email me  or comment your thoughts below!

Author

Questions & Comments

No Comments

What is Your Opinion?

Projects? Ideas? Questions? Let's do a free initial workshop!